「Analysismethod-2021-JAEA」の版間の差分

提供:debrisWiki
ナビゲーションに移動 検索に移動
(ページの作成:「{{DISPLAYTITLE:分析方法(JAEA 2021年度 受入サンプル共通)}} {| class="wikitable sortable mw-collapsible mw-collapsed" |+更新履歴 !width="30pt"|No !wid…」)
 
編集の要約なし
41行目: 41行目:
|}
|}


===外観 ===
=外観=
 搬入された試料を開封し,デジタルカメラにて写真を撮影し,汚れなどの個所を確認した。
 搬入された試料を開封し,デジタルカメラにて写真を撮影し,汚れなどの個所を確認した。


===イメージングプレート ===
=イメージングプレート=


 イメージングプレート(コニカミノルタ製,読みとり装置:コニカミノルタREGIUS MODEL110)を用いて試料をイメージングプレートに載せ,露光時間を段階的に増やして複数の露光時間におけるデータを取得し,汚染個所を確認した。
 イメージングプレート(コニカミノルタ製、読みとり装置:コニカミノルタREGIUS MODEL110)を用いて測定を行った。試料をイメージングプレートに載せ、露光時間を段階的に増やして複数の露光時間におけるデータを取得し、汚染箇所を確認した。汚染状況を詳細に確認するため、複数の露光時間を設定して高汚染密度の箇所から低汚染密度の箇所まで汚染の付着状況を確認できるようにした。


===FE-SEM/WDX ===
=FE-SEM/WDX=


 イメージングプレートで汚染が確認された箇所から取得された試料をホルダに固定し,電界放射走査型電子顕微鏡(日本電子製JSM-7001F,オックスフォードインスツルメンツ製Inca Wave)を用いてサンプルの性状を調査した。SEIとWDXによる面分析により試料表面のU粒子を確認(500倍)し,U粒子の直上および周囲の箇所をWDXにてスポットによる定性分析を実施した。さらに,U粒子の周辺は拡大して周辺の元素(U,Pu,Cs,Sb,Zr,Fe,Cr,Ni,Zn,Mo,Siその他定性分析で確認された有意なピークと推測される元素)をWDXにて分析した。
 IP測定で汚染が確認された箇所から取得された試料をホルダに固定してカーボン蒸着を行い、SEM観察用試料とした。FE-SEM(日本電子製JSM-7001F)及び付属のWDX(オックスフォードインスツルメンツ製Inca Wave)を用いて、SEM観察用試料表面におけるU含有粒子の探索、及びU含有粒子とその周辺での元素分布を調査した。


===放射線測定===
==U含有粒子の探索==
====測定方法====
 まず、試料全体の二次電子像(SEI)を取得し、付着物や粉末の分布を把握した。スミア紙を含む試料(2PEN2101、2PEN2102)及び構造材の一部からなる試料(2WEL2102A、2WEL2103A)については、全体SEIの中で付着物の多い箇所を中心にU含有粒子の探索を行った。堆積物試料(2WEL2101A、2WEL2101C)については、粉の表面を中心にU含有粒子の探索を行った。U含有粒子の探索では、Uの特性X線(Mα線)を用いて、低倍率(典型的な条件として500倍)での面分析を連続的に実施した。
 FMFからAGFに搬入した試料は,後述する条件(ICP-MSの項参照)で溶解するが,溶解前,硝酸溶解後の溶解液および残渣に対し,ゲルマニウム半導体検出器(ORTEC社製,分解能:650 [eV]@5.9 [keV]および1.90 [keV]@1.33 [MeV],同軸型)を用いたγ線スペクトル分析(γ線計測)を0~2000 [keV]の範囲で実施した。


 溶解液はICP-MSの分析方法に示す通り,全量が30 [ml]に調製されている。溶解液から0.1 [ml]をバイアルに分取し,溶解液のγ線計測に供した。得られた値を300倍することにより,溶解液全量に対するγ線量とした。残渣については,ろ過時にフィルタ(孔径:0.45 [μm])上に回収し,フィルタごと測定に供した。
==U含有粒子とその周辺での元素分布の把握==
 着目したU含有粒子の直上及びその周辺箇所のWDX点分析により、全波長域での特性X線の波長プロファイルを取得し、特性X線ピークを有する元素の検出(定性分析)を行った。<br/>
 さらに、U含有粒子とその周辺を含む領域の元素マッピングとして、WDX面分析により、マッピング対象元素の特性X線像を取得した。マッピング対象元素は、アクチノイド成分、核分裂生成物(FP)成分、及びこれら放射性核種の移行に影響すると考えられる構造材(被覆管含む)や塗料等の濃縮箇所の検出を目指して、前広に設定した。具体的には、U、Pu、Cs、Sb、Zr、Fe、Cr、Ni、Zn、Mo、及びSiの11元素は、必須元素としてすべてのサンプルに対して測定した。さらに、前述の点分析で必須元素以外の特徴的な元素が検出された場合は、サンプル毎にマッピング対象元素に加えた。各元素の特性X線像取得に用いた波長を下表に示す。<br/>
 取得した特性X線像については、特性X線のピークカウントがバックグラウンドの3倍(本分析では5カウントとした)に満たない場合は、試料からの有意な信号を含まないものと判断した。さらに本分析では、Uの特性X線(Mα:3.907 Å)が高強度で存在する場合に、これよりも低波長側におけるベースラインが上昇する傾向にある。この場合、特にCs(Lα:2.892 Å)に相当する波長位置でのピークカウントが底上げされ、特性X線像においてUと同じ位置にCsの輝点が現れることがある。このようにUと同じ位置にCsの輝点が認められる場合は、前述のU含有粒子上の点分析で取得した波長プロファイルを確認することにより、Csの含有の有無を直接判定した。<br/>
 以上の判定を踏まえ、試料からの有意な信号を含むと判定された特性X線像については、当該元素のマップとして表示した。有意な信号を含まないと判定された特性X線像については、当該元素のキャプションに※印と括弧を付して表示し、有意な元素マップとの区別化を図りつつ、参考データとして表示した。


 カウント数からベクレル数への換算には,円柱状の多核種混合標準線源(Am-241,Cd-109,Co-57,Hg-203,Cr-51,Ba-133,Sn-113,Sr-85,Cs-137,Y-88,Co-60)を用いた。ここで,換算において,形状補正などを行っていないため,絶対値の不確かさは大きい。(後述する不確かさの評価において,この不確かさについては考慮していない。)
{| class="wikitable sortable mw-collapsible"| style="margin:0 auto"
|+表 マッピング対象元素の特性X線像取得に用いた波長
! colspan="2" |マッピング対象元素
! |特性X線
! |主要オーバーラップ
|-
| rowspan="11" |必須元素<br/>(サンプル共通)
|U
|Mα:3.907 Å
|
|-
|Pu
|Mβ:3.505 Å※
|※ 主ピークのPu Mα(3.701 Å)がU Mβ(3.715 Å)と重複するため、Puの測定ではMβ線を使用
|-
|Cs
|Lα:2.892 Å
|Zn 高次線:2.878Å
|-
|Sb
|Lα:3.439 Å
|
|-
|Zr
|Lα:6.073 Å
|
|-
|Fe
|Kα:1.937 Å
|
|-
|Cr
|Kα:2.291 Å
|V Kβ1:2.284Å
|-
|Ni
|Kα:1.657 Å
|
|-
|Zn
|Kα:1.436 Å
|
|-
|Mo
|Lα:5.409 Å
|
|-
|Si
|Kα:7.127 Å
|
|-
| rowspan="11" |点分析結果に応じて追加した元素<br/>(サンプルごと)
|Ca
|Mα:3.355 Å
|
|-
|Al
|Kα:8.312 Å
|
|-
|Ti
|Kα:2.741 Å
|Ba Lα:2.776 Å
|-
|Cu
|Kα:1.542 Å
|
|-
|Cl
|Kα:4.729 Å
|
|-
|Pb
|Lα:1.173 Å
|As Kα:1.175Å
|-
|Mg
|Kα:9.875 Å
|
|-
|}


====不確かさ====
=試料の溶解=
 不確かさの評価にあたっては,以下の因子を考慮し,算出した。
 FMFからAGFに搬入した化学分析用試料は、硝酸及び微量フッ化水素酸中で溶解処理を行った。溶解前に、試料の重量測定、及び後述する方法にて放射線測定を行った。放射線測定後の試料をテフロンビーカー内に入れ、8 M硝酸10 mLを添加し、ホットプレート上で6時間加熱した。その後、conc.フッ化水素酸 0.05~0.1 mLを添加し、さらに6~18時間ホットプレート上で加熱した。ホットプレート上での加熱温度は、溶液が沸騰しないようにテフロンビーカー内の溶液温度が75 ℃となるように温度を調整した。蒸発に伴う液量の減少を補うため、4 M硝酸5~15 mLを途中で追加した。放冷後、固液分離操作のために、メンブレンフィルタ(孔径:0.45 μm)を用いてろ過を行った後、超純水にて30 mLにメスアップした。
 
=放射線測定=
==測定方法==
 溶解前の化学分析用試料(溶解前試料)、溶解液、及び溶解後の残渣に対し、ゲルマニウム半導体検出器(ORTEC製、分解能:650 eV at 5.9 keV、及び1.90 keV at 1.33 MeV、同軸型)を用いたγ線スペクトル分析(γ線計測)を、0~2000 keVの範囲で実施した。<br/>
 全量が30 mLに調製された溶解液(4.4.1参照)から0.1 mLをバイアル瓶に分取し、溶解液のγ線計測に供した。得られた値を300倍することにより、溶解液全量に対する分析値とした。残渣については、ろ過時にフィルタ(孔径:0.45 μm)上に回収し、フィルタごと測定に供した。<br/>
 γ線計測結果として、溶解前試料、溶解液、及び溶解後残渣のγ線放出核種の放射能量 [Bq]を求めた。求めた放射能量を、それぞれ、溶解前試料重量、溶解した試料重量(溶解前試料重量-溶解後残渣重量)、及び溶解後残渣重量で除することにより、単位試料重量当たりの放射能量 [Bq/g] に換算した。<br/>
 放射能量の算出に際し、計数率からベクレル数への換算には、円柱状の多核種混合標準線源(Am-241、Cd-109、Co-57、Hg-203、Cr-51、Ba-133、Sn-113、Sr-85、Cs-137、Y-88、Co-60)を用いた。ここで、換算では形状補正を行っていないため、絶対値の不確かさは大きい(後述する不確かさの評価において、形状補正による因子については考慮していない)。
 
==不確かさ==
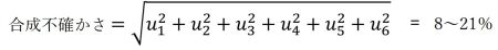
 不確かさの評価にあたっては、以下の因子を考慮し、算出した。なお、括弧内数値は各因子の相対不確かさをパーセントで表している。


*u<sub>1</sub>=校正線源の不確かさ(7%)
*u<sub>1</sub>=校正線源の不確かさ(7%)
68行目: 161行目:
*u<sub>4</sub>=効率校正式フィッティングの不確かさ(1.7~11%)
*u<sub>4</sub>=効率校正式フィッティングの不確かさ(1.7~11%)
*u<sub>5</sub>=試料分取時のピペットの計量不確かさ(0.27%,液体試料のみ)
*u<sub>5</sub>=試料分取時のピペットの計量不確かさ(0.27%,液体試料のみ)
*u<sub>6</sub>=試料のピーク面積の不確かさ(0.1~16%)
*u<sub>6</sub>=試料のピーク面積の不確かさ(0.1~16%)
u<sub>1</sub>~u<sub>6</sub>を合成すると
 u<sub>1</sub>~u<sub>6</sub>を合成すると、
 
[[file: rad_combined uncertainty_2021.jpg|450px]]<br />
 となる。
 
 定量分析値には、上記の式に従い算出した合成不確かさを1桁に丸めて、分析値とともに表中に記載した。<br/>
 なお、溶解前試料や溶解後残渣のような固体状のサンプルについては、その形状が標準線源(円柱状)と異なるため、定量分析値には数十パーセントの変動を含みうる。このため、溶解前試料及び溶解後残渣中の各核種の放射能量は、溶解液への放射性核種の移行割合をオーダーレベルで概略把握するための概数値である。


合成不確かさ = √(u<sub>1</sub><sup>2</sup>+u<sub>2</sub><sup>2</sup>+u<sub>3</sub><sup>2</sup>+u<sub>4</sub><sup>2</sup>+u<sub>5</sub><sup>2</sup>+u<sub>6</sub><sup>2</sup>) = 8~21%
==定量下限値==
 定量下限値については,Cooperの方法<ref>日本の環境放射能と放射線HP(2020):“放射能測定法シリーズNo.7 ゲルマニウム半導体検出器によるγ線スペクトロメトリー”, https://www.kankyo-hoshano.go.jp/wp-</ref>に従い算出した。


上記の式に従い,算出した不確かさを1桁に丸めて表中に記載した。ただし,測定値と不確かさの桁数が同じ場合は,有効数字の2桁で表記した。
=ICP-MS=


====定量下限値====
 固液分離を行った溶解液に対し、検量線法により対象核種の定量分析を行った。また、簡易的な定性分析として、全質量数のスキャンにより溶解液中に含まれる元素の同定を行った。
 定量下限値については,クーパーの方法に従い算出した(日本の環境放射能と放射線HP,2020)。


===ICP-MS===
==定量分析==
====サンプルの溶解====
:(1) 定量分析対象核種<br/>
 FMFからAGFに搬入した試料は,上述の放射線計測(ゲルマニウム半導体検出器)を行った後,テフロンビーカー内に入れ,8 [M]硝酸10 [ml]とconc.フッ化水素酸 0.05~0.1 [ml]と供に,合計12~24時間ホットプレート上で加熱した。溶液が沸騰しないように,テフロンビーカー内の溶液温度が75 ℃となるように温度を調整した。蒸発に伴う液量の減少を補うため,4M硝酸5~15 [ml]を途中で追加した。放冷後,固液分離操作のために,メンブレンフィルタ(孔径:0.45 [μm])を用いてろ過を行った後,超純水にて30 [ml]にメスアップした。
:: 放射性核種や燃料由来の核種を含む元素、及びそれらの移行挙動に影響する元素として、Li、B、Cr、Fe、Ni、Zr、Mo、Ag、Cs、Nd、Uの11元素を対象とした。これらの核種の定量においては、他元素の同重体からの影響がないか極めて小さく、一意に特定可能な核種に着目し、Li-6、Li-7、B-10、B-11、Cr-52、Cr-53、Fe-56、Fe-57、Ni-60、Ni-61、Ni-62、Zr-90、Zr-91、Mo-95、Mo-97、Mo-98、Ag-107、Ag-109、Cs-133、Nd-143、Nd-145、Nd-146、U-234、U-235、U-236、U-238の計26核種を対象とした。<br/>
====測定方法====
 ろ過後の試料溶液(30 [ml])から適量を分取し,定量分析対象元素の濃度に応じて希釈した後,ICP-MSでの測定を実施した。測定時の希釈倍率を,表1に示す。また,ICP-MSによる定量分析を行うにあたり,1質量あたりの測定時間を9秒(1秒×3点/質量×3回繰り返し)とした。Zr, Mo,Ni,Cr,Fe,B,Li,Ag,Cs,Nd,Uの核種について,カウント数(計数率)から濃度への換算にあたり,対象核種を含む標準溶液を用いた。濃度の異なる標準溶液を数点計測し,ICP-MSでの測定で得られた計数率および濃度から最小二乗法により検量線を作成し,濃度への換算に用いた。得られた濃度に,希釈倍率と元の試料溶液の体積(30 [ml])を乗ずることにより,元の試料溶液(30 [ml])中に含まれる重量に換算した。


{| class="wikitable"
:(2) 検量線の作成<br/>
|+表1 ICP-MS測定時における希釈倍率
:: 各核種のカウント数(計数率)から濃度への換算にあたり、U-234とU-236を除く24核種について、対象核種を含む標準溶液を用いて濃度の異なる溶液を数点調整、測定し、調整した濃度と得られた計数率から最小二乗法により検量線を作成し、試料溶液中の各核種の濃度への換算に用いた。U-234及びU-236については、計数率から濃度への換算にU-235の検量線の傾きを用いた。<br/>
:: 作成した検量線の一例を下図に示す。<br/>
 
<gallery mode="packed" heights=150px>
Image:Gr1:21AGF図-ICPMS-検量線-1a(Li-6).jpg|Li-6
Image:Gr1:21AGF図-ICPMS-検量線-1b(Li-7).jpg|Li-7
Image:Gr1:21AGF図-ICPMS-検量線-1c(B-10).jpg|B-10
Image:Gr1:21AGF図-ICPMS-検量線-1d(B-11).jpg|B-11
Image:Gr1:21AGF図-ICPMS-検量線-1e(Cr-52).jpg|Cr-52
Image:Gr1:21AGF図-ICPMS-検量線-1f(Cr-53).jpg|Cr-53
Image:Gr1:21AGF図-ICPMS-検量線-1g(Fe-56).jpg|Fe-56
Image:Gr1:21AGF図-ICPMS-検量線-1h(Fe-57).jpg|Fe-57
Image:Gr1:21AGF図-ICPMS-検量線-1i(Ni-60).jpg|Ni-60
Image:Gr1:21AGF図-ICPMS-検量線-1j(Ni-61).jpg|Ni-61
Image:Gr1:21AGF図-ICPMS-検量線-1k(Ni-62).jpg|Ni-62
Image:Gr1:21AGF図-ICPMS-検量線-1w(Zr-90).jpg|Zr-90
Image:Gr1:21AGF図-ICPMS-検量線-1x(Zr-91).jpg|Zr-91
Image:Gr1:21AGF図-ICPMS-検量線-1l(Mo-95).jpg|Mo-95
Image:Gr1:21AGF図-ICPMS-検量線-1m(Mo-97).jpg|Mo-97
Image:Gr1:21AGF図-ICPMS-検量線-1n(Mo-98).jpg|Mo-98
Image:Gr1:21AGF図-ICPMS-検量線-1o(Ag-107).jpg|Ag-107
Image:Gr1:21AGF図-ICPMS-検量線-1p(Ag-109).jpg|Ag-109
Image:Gr1:21AGF図-ICPMS-検量線-1q(Cs-133).jpg|Cs-133
Image:Gr1:21AGF図-ICPMS-検量線-1r(Nd-143).jpg|Nd-143
Image:Gr1:21AGF図-ICPMS-検量線-1s(Nd-145).jpg|Nd-145
Image:Gr1:21AGF図-ICPMS-検量線-1t(Nd-146).jpg|Nd-146
Image:Gr1:21AGF図-ICPMS-検量線-1u(U-235).jpg|U-235
Image:Gr1:21AGF図-ICPMS-検量線-1v(U-238).jpg|U-238
</gallery>
 
<CENTER>'''図 検量線の一例'''</CENTER>
 
:(3) 未知試料の測定<br/>
:: 固液分離後の試料溶液(30 mL)から適量を分取し、定量分析対象元素の濃度に応じて希釈した後、希釈溶液について測定を実施した。測定時の希釈倍率を、下表に示す。ICP-MSによる定量分析を行うにあたり、1質量数あたりの測定時間は9秒(1秒×3点/質量数×3回繰り返し)とした。得られた濃度に、希釈倍率と元の試料溶液の体積(30 mL)を乗ずることにより、元の試料溶液(30 mL)中に含まれる各核種の重量に換算した。<br/>
 
{| class="wikitable"| style="margin:0 auto"
|+表 ICP-MS測定時における希釈倍率
|試料名
|試料名
|Li
|Li
178行目: 311行目:
|}
|}


 また,ろ過後の試料溶液中に含まれる核種には,スミアろ紙やテフロンビーカーから溶出したと考えられる核種も含まれる。そのため,別途,操作ブランク試験を実施して,スミアろ紙やテフロンビーカーから溶出したと考えられる核種の重量を評価した。ブランク試験の手順を以下に示す。
:(4) 操作ブランク試料の測定<br/>
 2号機X-6ペネ調査装置付着物(2PEN2101および2PEN2102)については,採取に使用したスミアろ紙と同種のスミアろ紙を,試料溶解に供したテフロンビーカーと同ロットのテフロンビーカーの中で,上述の試料溶解と同条件で硝酸およびフッ化水素酸と供に加熱して得た溶液に対し,ICP-MS測定を行い,検量線を用いて濃度に換算した。得られた濃度に,希釈倍率と溶液の体積(30 [ml])を乗ずることで,スミアろ紙およびテフロンビーカーから溶出したと考えられる各核種の重量を得た。
:: ろ過後の試料溶液中に含まれる核種には、スミア紙やテフロンビーカーから溶出したと考えられる核種も含まれる。そのため、別途、操作ブランク試験を実施して、スミア紙やテフロンビーカーから溶出したと考えられる核種の重量を評価した。操作ブランク試験の手順を以下に示す。<br/>
 2号機原子炉ウェル内調査 ウェル差圧調整ライン堆積物,排気ダクト劣化部および排気ダクト点検口表面部(2WEL2101A,2WEL2101C,2WEL2102Aおよび2WEL2103A)については,試料溶解に供したテフロンビーカーと同ロットのテフロンビーカーの中に,硝酸およびフッ化水素酸のみを入れて,上述の試料溶解と同条件で加熱して得た溶液に対し,ICP-MS測定を行い,検量線を用いて濃度に換算した。得られた濃度に,希釈倍率と溶液の体積(30 [ml])を乗ずることで,テフロンビーカーから溶出したと考えられる各核種の重量を得た。
:: スミア紙を含むサンプル(2PEN2101及び2PEN2102)については、採取に使用したスミア紙と同種のスミア紙を、試料溶解に供したテフロンビーカーと同ロットのテフロンビーカーの中で、試料溶解と同条件で硝酸及びフッ化水素酸とともに加熱した。得られた溶液に対し、ICP-MS測定を行い、検量線を用いて濃度に換算した。得られた濃度に、希釈倍率と溶液の体積(30 mL)を乗ずることで、スミア紙およびテフロンビーカーから溶出したと考えられる各核種の重量を得た。<br/>
 元の試料溶液(30 [ml])中に含まれる各核種の重量から,スミアろ紙やテフロンビーカーから溶出したと考えられる各核種の重量を差し引くことで,試料に含まれる核種重量を評価した。
:: 固形物のサンプル(2WEL2101A、2WEL2101C、2WEL2102A及び2WEL2103A)については、試料溶解に供したテフロンビーカーと同ロットのテフロンビーカーの中に、硝酸及びフッ化水素酸のみを入れて、試料溶解と同条件で加熱して得た溶液に対し、ICP-MS測定を行い、検量線を用いて濃度に換算した。得られた濃度に、希釈倍率と溶液の体積(30 mL)を乗ずることで、テフロンビーカーから溶出したと考えられる各核種の重量を得た。<br/>
 
 検量線法を用いた溶液中の核種濃度の評価,ならびに,試料に含まれる核種重量の評価について,詳細を以下に示す。
 
 a:検量線の切片 [cps]
 
 b:検量線の傾き [cps/(ng/ml)]
 
 y:測定試料の測定値 [cps]
 
 x:検量線用標準試料の濃度 [ng/ml]
 
とすると,検量線として以下が得られる。
 
 y = a +b x
 
を変形させて,
 
 x = (y-a)/b
 
に測定試料の測定値 y [cps]から,核種濃度 x [ng/ml]を求めた。
 
ここで,
 
 y1:試料溶解液の測定値 [cps]
 
 y2:操作ブランク試験で作製した溶液(操作ブランク試料)の測定値 [cps]
 
とするとき,上式にy1,y2を代入して
 
 x1:試料溶液中の核種の濃度[ng/ml)
 
 x2:操作ブランク試験で作製した溶液(操作ブランク試料)中の核種の濃度[ng/ml]
 
を得て,
 
 試料に含まれる核種の量 = (x1 - x2) × 希釈倍率 × 試料容積の体積 [ng]
 
とした。
 
なお,定量分析時に作成した検量線の一例を図1に示す。
 
<gallery mode="packed" heights=150px caption="図1 検量線">
Image:Gr1:21AGF図-ICPMS-検量線-1a(Li-6).jpg|Li-6
Image:Gr1:21AGF図-ICPMS-検量線-1b(Li-7).jpg|Li-7
Image:Gr1:21AGF図-ICPMS-検量線-1c(B-10).jpg|B-10
Image:Gr1:21AGF図-ICPMS-検量線-1d(B-11).jpg|B-11
Image:Gr1:21AGF図-ICPMS-検量線-1e(Cr-52).jpg|Cr-52
Image:Gr1:21AGF図-ICPMS-検量線-1f(Cr-53).jpg|Cr-53
Image:Gr1:21AGF図-ICPMS-検量線-1g(Fe-56).jpg|Fe-56
Image:Gr1:21AGF図-ICPMS-検量線-1h(Fe-57).jpg|Fe-57
Image:Gr1:21AGF図-ICPMS-検量線-1i(Ni-60).jpg|Ni-60
Image:Gr1:21AGF図-ICPMS-検量線-1j(Ni-61).jpg|Ni-61
Image:Gr1:21AGF図-ICPMS-検量線-1k(Ni-62).jpg|Ni-62
Image:Gr1:21AGF図-ICPMS-検量線-1w(Zr-90).jpg|Zr-90
Image:Gr1:21AGF図-ICPMS-検量線-1x(Zr-91).jpg|Zr-91
Image:Gr1:21AGF図-ICPMS-検量線-1l(Mo-95).jpg|Mo-95
Image:Gr1:21AGF図-ICPMS-検量線-1m(Mo-97).jpg|Mo-97
Image:Gr1:21AGF図-ICPMS-検量線-1n(Mo-98).jpg|Mo-98
Image:Gr1:21AGF図-ICPMS-検量線-1o(Ag-107).jpg|Ag-107
Image:Gr1:21AGF図-ICPMS-検量線-1p(Ag-109).jpg|Ag-109
Image:Gr1:21AGF図-ICPMS-検量線-1q(Cs-133).jpg|Cs-133
Image:Gr1:21AGF図-ICPMS-検量線-1r(Nd-143).jpg|Nd-143
Image:Gr1:21AGF図-ICPMS-検量線-1s(Nd-145).jpg|Nd-145
Image:Gr1:21AGF図-ICPMS-検量線-1t(Nd-146).jpg|Nd-146
Image:Gr1:21AGF図-ICPMS-検量線-1u(U-235).jpg|U-235
Image:Gr1:21AGF図-ICPMS-検量線-1v(U-238).jpg|U-238
</gallery>
 
 定量分析対象以外の元素については,定性分析により,未知試料中での含有について判定を行った。ICP-MSによる定性分析を行うにあたり,1質量あたりの測定時間を0.09秒(0.01秒×3点/質量×3回繰り返し)とした。定性分析では,まず,硝酸溶液(ブランク)を複数回測定し,計数率の平均値(μ)および標準偏差(σ)を求め,検出限界(μ+3σ)を算出した。未知溶液試料および操作ブランク試料を同様に測定し,各質量数(質量電荷数比,m/Z比)で検出限界以上の計数率からブランクの平均値(μ)を差し引いて正味計数率とした。未知試料の正味計数率が操作ブランク試料の正味計数率の約2倍を超えるものについては,未知試料中に有意に含まれるものと判断した。<br>
 なお、正味計数率が検出限界以上であり、かつ操作ブランクが検出限界未満であるものは、操作ブランクの計数率に関わらず、未知試料中に有意に含まれるものと判断した。
 
====不確かさ====
 定量値の不確かさおよび定量下限値は,以下の通り算出した。
試料測定時および操作ブランク試料測定時の検量線の不確かさを計算し,それらの不確かさを合成することで,定量値の不確かさを求めた。検量線の不確かさについては下記の式(J.N.Miller,2004;AIST工学計測用標準研究部門データサイエンス研究グループ不確かさWeb,2018)から計算した。
 
u:検量線から求めた濃度の不確かさ
 
m:検量線用標準溶液の測定回数
 
y<sub>o</sub>:測定試料の機器出力
 
y<sub>i</sub>:検量線用標準液の各測定値
 
y<sup>-</sup>:検量線用標準液の測定値の平均値
 
x<sup>-</sup>:x<sub>i</sub>の平均値
 


u = s<sub>yo</sub>/b √(1/3+1/m+(y<sub>o</sub>-y<sup>-</sup>)<sup>2</sup>/(b<sup>2</sup> Σ(x<sub>i</sub>-x<sup>-</sup> )<sup>2</sup> ))
:(5) 核種重量の算出<br/>
:: 元の試料溶液(30 mL)中に含まれる各核種の重量から、スミア紙やテフロンビーカーから溶出したと考えられる各核種の重量を差し引くことで、試料に含まれる核種重量を評価した。<br/>
:: 検量線法を用いた溶液中の核種濃度の評価、ならびに、試料に含まれる核種重量の評価について、詳細を以下に示す。<br/>
:::  a:検量線の切片 [cps]<br/>
:::  b:検量線の傾き [cps/(ng/mL)]<br/>
:::  y:測定試料の測定値 [cps]<br/>
:::  x:測定試料の濃度 [ng/mL]<br/>
:: とすると、検量線として以下が得られる。<br/>
:::  y = a +bx ………(1)<br/>
:: 上式の変形により、測定試料の濃度が得られる。<br/>
:::  x = (y–a) / b ………(2)<br/>
:: ここで、<br/>
:::  y<sub>1</sub>:試料溶液の測定値 [cps]<br/>
:::  y<sub>2</sub>:操作ブランク試験で作製した溶液(操作ブランク試料)の測定値 [cps]<br/>
:: とするとき、式(2)のyにy<sub>1</sub>、y<sub>2</sub>を代入して<br/>
:::  x<sub>1</sub>:試料溶液中の核種の濃度 [ng/mL] <br/>
:::  x<sub>2</sub>:操作ブランク試験で作製した溶液(操作ブランク試料)中の核種の濃度 [ng/mL]<br/>
:: がそれぞれ得られる。得られたx<sub>1</sub>及びx<sub>2</sub>の値を用いて、試料中に含まれる核種の量を次式により算出した。<br/>
:::  (試料に含まれる核種の量[ng]) = (x<sub>1</sub>[ng/mL]– x<sub>2</sub>[ng/mL]) × (希釈倍率) × (試料溶液の体積[mL]) ………(3)<br/>


:(6) 不確かさ<br/>
:: 定量値の不確かさは、未知試料測定時および操作ブランク試料測定時の検量線の不確かさを計算し、それらの不確かさを合成することで求めた。検量線の不確かさについては下記の式(<ref>J. N. Miller(2004):J. N. Miller著,宗森信,佐藤寿邦訳(2004) “データのとり方とまとめ方―分析化学のための統計学とケモメトリックス”,2版, 共立出版, p142~148.</ref>;<ref>AIST工学計測用標準研究部門データサイエンス研究グループ不確かさWeb(2018):“化学分析における不確かさの評価事例~ポイントと手法~”,https://unit.aist.go.jp/riem/ds-</ref>)から計算した。<br/>


なお,s<sub>yo</sub>の計算については以下のとおりである。
::::[[file: icp_u,syo_2021.jpg|250px]]<br />


s<sub>yo</sub> = √([Σ{y<sub>i</sub>-(bx<sub>i</sub>+a)}<sup>2</sup> ]/(m-2) )
:: ここで、
:::  u:検量線から求めた濃度の不確かさ<br/>
:::  m:検量線用標準溶液の測定回数<br/>
:::  y<sub>o</sub>:測定試料の機器出力 [cps]<br/>
:::  y<sub>i</sub>:検量線用標準液の各測定値 [cps]<br/>
:::  y<sup>-</sup>:検量線用標準液の各測定値y<sub>i</sub>の平均値 [cps]<br/>
:::  x<sub>i</sub>:検量線用標準液の各濃度 [ng/mL]<br/>
:::  x<sup>-</sup>:検量線用標準液の各濃度x<sub>i</sub>の平均値 [ng/mL]<br/>
:::  a:検量線の切片 [cps]<br/>
:::  b:検量線の傾き [cps/(ng/mL)]<br/>


:: 式(4)及び(5)より、未知試料測定時の検量線に起因する不確かさu<sub>1</sub>、及び操作ブランク試料測定時の検量線に起因する不確かさu<sub>2</sub>をそれぞれ求め、合成不確かさを次式により算出した。<br/>


不確かさ試料測定時の検量線に起因する不確かさをu<sub>1</sub>,操作ブランク試料測定時の検量線に起因する不確かさu<sub>2</sub>を合成して,試料の定量値の合成不確かさは以下の式で計算した。
::::[[file: icp_combined uncretainly_2021.jpg|230px]]<br />


合成不確かさ=√(u<sub>1</sub><sup>2</sup>+u<sub>2</sub><sup>2</sup> )
:(7) 定量下限値<br/>
:: バックグラウンドを繰り返し測定し、その測定値の標準偏差の10倍の値を用いて定量下限値を計算した。以下に示す1.~5.に従い、測定値が定量下限値でないものについては定量を行った。<br/>
::# 定量する核種の質量数に対して、ブランク溶液(標準液を添加していない硝酸、すなわち、単なる硝酸を試料と同じ硝酸濃度に調製した溶液)を複数回測定した。<br/>
::# 複数回測定したブランク溶液の計数率 [cps] から平均μと標準偏差σを計算し、μ+10σを定量下限値とした。<br/>
::# 試料を測定し、測定値がμ+10σを超えているか確認した。<br/>
::# 試料の測定値がμ+10σを超えない場合は、定量下限以下のため定量を行わなかった。<br/>
::# 試料の測定値がμ+10σを超える場合は、検量線を使って定量した。<br/>
:: μ+10σを濃度に換算した結果の一例を下表に示す。<br/>


とした。合成不確かさと定量値の商から相対不確かを求めると0.009~87 %であった。
{| class="wikitable"| style="margin:0 auto"
 
|+表 定量下限一覧(一例)
====定量下限値====
 定量下限値については,バックグラウンドを繰り返し測定しその測定値の標準偏差の10倍の値とした。以下に示すa~eに従い,測定値が定量下限値でないものについては定量を行った。
 
a.定量する核種に対して,ブランク(標準液を添加していない硝酸,すなわち,単なる硝酸を試料と同じ硝酸濃度に調製した溶液)を複数回測定する。
 
b.複数回測定して,測定したブランクの計数率 [cps]から平均μと標準偏差σを計算する。
 
c.試料を測定し,μ+10σを超えているか確認する。
 
d.μ+10σを超えない場合は,定量下限以下のため定量しない。
 
e.μ+10σを超える場合は,検量線を使って定量する。
 
μ+10σを濃度に換算した結果の一例を表2に示す。
{| class="wikitable"
|+表2 定量下限一覧(一例)
|核種
|核種
|Li-6
|Li-7
|B-10
|B-11
|Cr-52
|Cr-53
|Fe-56
|Fe-57
|Ni-60
|Ni-61
|Ni-62
|Mo-95
|Mo-97
|Mo-98
|-
|定量下限値 (ppb)
|定量下限値 (ppb)
|-
|Li-6
|1.30E-02
|1.30E-02
|-
|Li-7
|7.93E-02
|7.93E-02
|-
|B-10
|8.90E-01
|8.90E-01
|-
|B-11
|3.46E+00
|3.46E+00
|-
|Cr-52
|2.57E-01
|2.57E-01
|-
|Cr-53
|4.26E-03
|4.26E-03
|-
|Fe-56
|1.60E+01
|1.60E+01
|-
|Fe-57
|1.64E-01
|1.64E-01
|-
|Ni-60
|4.80E-03
|4.80E-03
|-
|Ni-61
|2.49E-03
|2.49E-03
|-
|Ni-62
|1.53E-02
|1.53E-02
|-
|Mo-95
|4.68E-02
|4.68E-02
|-
|Mo-97
|3.44E-02
|3.44E-02
|-
|Mo-98
|6.58E-02
|6.58E-02
|}
{| class="wikitable"| style="margin:0 auto"
|+表 定量下限一覧(一例)(続き)
|核種
|Zr-90
|Zr-91
|Ag-107
|Ag-109
|Cs-133
|Nd-143
|Nd-145
|Nd-146
|U-234
|U-235
|U-236
|U-238
|-
|-
|Zr-90
|定量下限値 (ppb)
|8.22E-02
|8.22E-02
|-
|Zr-91
|3.38E-02
|3.38E-02
|-
|Ag-107
|5.15E-03
|5.15E-03
|-
|Ag-109
|7.96E-03
|7.96E-03
|-
|Cs-133
|5.07E-02
|5.07E-02
|-
|Nd-143
|1.49E-04
|1.49E-04
|-
|Nd-145
|5.40E-04
|5.40E-04
|-
|Nd-146
|2.02E-03
|2.02E-03
|-
|U-234
|5.53E-04
|5.53E-04
|-
|U-235
|3.53E-04
|3.53E-04
|-
|U-236
|3.13E-04
|3.13E-04
|-
|U-238
|3.32E-02
|3.32E-02
|}
|}


===参考文献===
==定性分析==
AIST工学計測用標準研究部門データサイエンス研究グループ不確かさWeb(2018):“化学分析における不確かさの評価事例~ポイントと手法~”,https://unit.aist.go.jp/riem/ds-
 全質量数スキャンにより、未知試料中での元素の含有について簡易的に判定を行った。ICP-MSによる定性分析を行うにあたり、1質量数あたりの測定時間を0.09秒(0.01秒×3点/質量数×3回繰り返し)とした。
 
:(1) 未知試料由来の有意な信号を含む質量数の選定
:: 定性分析では、まず、硝酸溶液(ブランク溶液)を複数回測定し、ブランク溶液の計数率の平均値(μ)および標準偏差(σ)を求め、検出限界(μ + 3σ)を算出した。未知試料及び操作ブランク試料(まとめて「測定試料」という)に対して同様の測定を実施し、測定試料の計数率を求めた。測定試料の計数率が検出限界以上の場合、測定試料の計数率からブランク溶液の計数率の平均値(μ)を差し引くことにより、測定試料の正味計数率を算出した。<br/>
:: 各質量数(質量電荷数比、m/Z比)において、未知試料の正味計数率が操作ブランク試料の正味計数率の2倍を超えるものについては、未知試料由来の有意な信号を含むものと判断した。なお、未知試料の計数率が検出限界以上であり、かつ操作ブランク試料の計数率が検出限界未満である場合も、未知試料由来の有意な信号を含むものと判断した。<br/>
 
:(2) 元素の簡易同定
:: 前項(1)で有意と判断された質量数において含まれる可能性のある元素を、次のような手順の下で簡易的に同定した。<br/>
::# 天然同位体組成<ref>日本化学会 原子量専門委員会,「原子量表(2022)」について,https://www.chemistry.or.jp/know/atom_2022.pdf (accessed Dec. 2022).</ref>や照射燃料組成<ref>西原健司他,福島第一原子力発電所の燃料組成評価,JAEA-Data/Code 2012-018,2012,190p.</ref>との比較により、着目する質量数に該当する安定同位体核種または放射性核種を、候補核種としてピックアップした。<br/>
::# ピックアップされた候補核種のうち、希ガスについては除外した(溶解液中にほとんど残らないと考えられるため)。また、他の質量数での計数率が小さい等の理由から、着目する質量数における寄与が極めて小さいと判断される核種についても除外した。<br/>
::# 着目する質量数から16または17小さい質量数での計数率を確認し、水酸化物イオンまたは酸化物イオンの寄与を判断した。また、着目する質量数の2倍の質量数での計数率を確認し、2価イオンの寄与を判断した。<br/>
::# 上記3.の分子イオンや2価イオンの影響を考慮した上で、上記1.の候補核種が一種類のみであった場合、または上記2.において核種が一種類に絞り込まれた場合、その核種を含む元素を一意に同定できたものとみなし、着目する質量数で一意に同定された元素として記載した。なお、上記2.の絞込みや上記3.の妨害イオンの検討の結果、複数の核種や妨害イオンからの寄与が見込まれる場合、それらの元素やイオンを包絡して記載した。<br/>
 
=参考文献=
<references>
 
[1]日本の環境放射能と放射線HP(2020):“放射能測定法シリーズNo.7 ゲルマニウム半導体検出器によるγ線スペクトロメトリー”, https://www.kankyo-hoshano.go.jp/wp-</ref>
 
[2]J. N. Miller(2004):J. N. Miller著,宗森信,佐藤寿邦訳(2004) “データのとり方とまとめ方―分析化学のための統計学とケモメトリックス”,2版, 共立出版, p142~148.
 
[3]AIST工学計測用標準研究部門データサイエンス研究グループ不確かさWeb(2018):“化学分析における不確かさの評価事例~ポイントと手法~”,https://unit.aist.go.jp/riem/ds-
 
[4]日本化学会 原子量専門委員会,「原子量表(2022)」について,https://www.chemistry.or.jp/know/atom_2022.pdf (accessed Dec. 2022).


J. N. Miller(2004):J. N. Miller著,宗森信,佐藤寿邦訳(2004) “データのとり方とまとめ方―分析化学のための統計学とケモメトリックス”,2版, 共立出版, p142~148.
[5]西原健司他,福島第一原子力発電所の燃料組成評価,JAEA-Data/Code 2012-018,2012,190p.


日本の環境放射能と放射線HP(2020):“放射能測定法シリーズNo.7 ゲルマニウム半導体検出器によるγ線スペクトロメトリー”, https://www.kankyo-hoshano.go.jp/wp-
</references>

2024年2月15日 (木) 15:05時点における版

更新履歴
No 日付 分類 内容 備考 記載者
1 2022/03/30 新規 IRID報告書の内容を転記。 4.1.1(4)項 原稿作成:佐々木・大西(JAEA)

wiki転記:池内(JAEA)

2 2022/10/18 改訂

ICP-MSの定性分析における元素判定の方法について:未知試料の計数率が検出限界(DL)以上、かつ操作ブランクがDL未満の場合の判定方法を追記した。

原稿作成:大西(JAEA)

wiki転記:池内(JAEA)

3 2022/11/22 承認 放射線測定及びICP-MSにおける不確かさ及び定量下限値の評価方法を各分析結果のページから移植した。 池内(JAEA)
4 2023/1/6 改訂 ICP-MSによるZr分析結果の追加に伴い、本文、表1, 2, 図1にZrの分析に係る情報及び図を追記した。 大西(JAEA)

外観

 搬入された試料を開封し,デジタルカメラにて写真を撮影し,汚れなどの個所を確認した。

イメージングプレート

 イメージングプレート(コニカミノルタ製、読みとり装置:コニカミノルタREGIUS MODEL110)を用いて測定を行った。試料をイメージングプレートに載せ、露光時間を段階的に増やして複数の露光時間におけるデータを取得し、汚染箇所を確認した。汚染状況を詳細に確認するため、複数の露光時間を設定して高汚染密度の箇所から低汚染密度の箇所まで汚染の付着状況を確認できるようにした。

FE-SEM/WDX

 IP測定で汚染が確認された箇所から取得された試料をホルダに固定してカーボン蒸着を行い、SEM観察用試料とした。FE-SEM(日本電子製JSM-7001F)及び付属のWDX(オックスフォードインスツルメンツ製Inca Wave)を用いて、SEM観察用試料表面におけるU含有粒子の探索、及びU含有粒子とその周辺での元素分布を調査した。

U含有粒子の探索

 まず、試料全体の二次電子像(SEI)を取得し、付着物や粉末の分布を把握した。スミア紙を含む試料(2PEN2101、2PEN2102)及び構造材の一部からなる試料(2WEL2102A、2WEL2103A)については、全体SEIの中で付着物の多い箇所を中心にU含有粒子の探索を行った。堆積物試料(2WEL2101A、2WEL2101C)については、粉の表面を中心にU含有粒子の探索を行った。U含有粒子の探索では、Uの特性X線(Mα線)を用いて、低倍率(典型的な条件として500倍)での面分析を連続的に実施した。

U含有粒子とその周辺での元素分布の把握

 着目したU含有粒子の直上及びその周辺箇所のWDX点分析により、全波長域での特性X線の波長プロファイルを取得し、特性X線ピークを有する元素の検出(定性分析)を行った。
 さらに、U含有粒子とその周辺を含む領域の元素マッピングとして、WDX面分析により、マッピング対象元素の特性X線像を取得した。マッピング対象元素は、アクチノイド成分、核分裂生成物(FP)成分、及びこれら放射性核種の移行に影響すると考えられる構造材(被覆管含む)や塗料等の濃縮箇所の検出を目指して、前広に設定した。具体的には、U、Pu、Cs、Sb、Zr、Fe、Cr、Ni、Zn、Mo、及びSiの11元素は、必須元素としてすべてのサンプルに対して測定した。さらに、前述の点分析で必須元素以外の特徴的な元素が検出された場合は、サンプル毎にマッピング対象元素に加えた。各元素の特性X線像取得に用いた波長を下表に示す。
 取得した特性X線像については、特性X線のピークカウントがバックグラウンドの3倍(本分析では5カウントとした)に満たない場合は、試料からの有意な信号を含まないものと判断した。さらに本分析では、Uの特性X線(Mα:3.907 Å)が高強度で存在する場合に、これよりも低波長側におけるベースラインが上昇する傾向にある。この場合、特にCs(Lα:2.892 Å)に相当する波長位置でのピークカウントが底上げされ、特性X線像においてUと同じ位置にCsの輝点が現れることがある。このようにUと同じ位置にCsの輝点が認められる場合は、前述のU含有粒子上の点分析で取得した波長プロファイルを確認することにより、Csの含有の有無を直接判定した。
 以上の判定を踏まえ、試料からの有意な信号を含むと判定された特性X線像については、当該元素のマップとして表示した。有意な信号を含まないと判定された特性X線像については、当該元素のキャプションに※印と括弧を付して表示し、有意な元素マップとの区別化を図りつつ、参考データとして表示した。

表 マッピング対象元素の特性X線像取得に用いた波長
マッピング対象元素 特性X線 主要オーバーラップ
必須元素
(サンプル共通)
U Mα:3.907 Å
Pu Mβ:3.505 Å※ ※ 主ピークのPu Mα(3.701 Å)がU Mβ(3.715 Å)と重複するため、Puの測定ではMβ線を使用
Cs Lα:2.892 Å Zn 高次線:2.878Å
Sb Lα:3.439 Å
Zr Lα:6.073 Å
Fe Kα:1.937 Å
Cr Kα:2.291 Å V Kβ1:2.284Å
Ni Kα:1.657 Å
Zn Kα:1.436 Å
Mo Lα:5.409 Å
Si Kα:7.127 Å
点分析結果に応じて追加した元素
(サンプルごと)
Ca Mα:3.355 Å
Al Kα:8.312 Å
Ti Kα:2.741 Å Ba Lα:2.776 Å
Cu Kα:1.542 Å
Cl Kα:4.729 Å
Pb Lα:1.173 Å As Kα:1.175Å
Mg Kα:9.875 Å

試料の溶解

 FMFからAGFに搬入した化学分析用試料は、硝酸及び微量フッ化水素酸中で溶解処理を行った。溶解前に、試料の重量測定、及び後述する方法にて放射線測定を行った。放射線測定後の試料をテフロンビーカー内に入れ、8 M硝酸10 mLを添加し、ホットプレート上で6時間加熱した。その後、conc.フッ化水素酸 0.05~0.1 mLを添加し、さらに6~18時間ホットプレート上で加熱した。ホットプレート上での加熱温度は、溶液が沸騰しないようにテフロンビーカー内の溶液温度が75 ℃となるように温度を調整した。蒸発に伴う液量の減少を補うため、4 M硝酸5~15 mLを途中で追加した。放冷後、固液分離操作のために、メンブレンフィルタ(孔径:0.45 μm)を用いてろ過を行った後、超純水にて30 mLにメスアップした。

放射線測定

測定方法

 溶解前の化学分析用試料(溶解前試料)、溶解液、及び溶解後の残渣に対し、ゲルマニウム半導体検出器(ORTEC製、分解能:650 eV at 5.9 keV、及び1.90 keV at 1.33 MeV、同軸型)を用いたγ線スペクトル分析(γ線計測)を、0~2000 keVの範囲で実施した。
 全量が30 mLに調製された溶解液(4.4.1参照)から0.1 mLをバイアル瓶に分取し、溶解液のγ線計測に供した。得られた値を300倍することにより、溶解液全量に対する分析値とした。残渣については、ろ過時にフィルタ(孔径:0.45 μm)上に回収し、フィルタごと測定に供した。
 γ線計測結果として、溶解前試料、溶解液、及び溶解後残渣のγ線放出核種の放射能量 [Bq]を求めた。求めた放射能量を、それぞれ、溶解前試料重量、溶解した試料重量(溶解前試料重量-溶解後残渣重量)、及び溶解後残渣重量で除することにより、単位試料重量当たりの放射能量 [Bq/g] に換算した。
 放射能量の算出に際し、計数率からベクレル数への換算には、円柱状の多核種混合標準線源(Am-241、Cd-109、Co-57、Hg-203、Cr-51、Ba-133、Sn-113、Sr-85、Cs-137、Y-88、Co-60)を用いた。ここで、換算では形状補正を行っていないため、絶対値の不確かさは大きい(後述する不確かさの評価において、形状補正による因子については考慮していない)。

不確かさ

 不確かさの評価にあたっては、以下の因子を考慮し、算出した。なお、括弧内数値は各因子の相対不確かさをパーセントで表している。

  • u1=校正線源の不確かさ(7%)
  • u2=効率校正時に測定した校正線源のピークの計数誤差(1.2~2.6%)
  • u3=効率校正に使用するピークの放出率不確かさ(最大の不確かさが0.5%)
  • u4=効率校正式フィッティングの不確かさ(1.7~11%)
  • u5=試料分取時のピペットの計量不確かさ(0.27%,液体試料のみ)
  • u6=試料のピーク面積の不確かさ(0.1~16%)

 u1~u6を合成すると、

Rad combined uncertainty 2021.jpg
 となる。

 定量分析値には、上記の式に従い算出した合成不確かさを1桁に丸めて、分析値とともに表中に記載した。
 なお、溶解前試料や溶解後残渣のような固体状のサンプルについては、その形状が標準線源(円柱状)と異なるため、定量分析値には数十パーセントの変動を含みうる。このため、溶解前試料及び溶解後残渣中の各核種の放射能量は、溶解液への放射性核種の移行割合をオーダーレベルで概略把握するための概数値である。

定量下限値

 定量下限値については,Cooperの方法[1]に従い算出した。

ICP-MS

 固液分離を行った溶解液に対し、検量線法により対象核種の定量分析を行った。また、簡易的な定性分析として、全質量数のスキャンにより溶解液中に含まれる元素の同定を行った。

定量分析

(1) 定量分析対象核種
 放射性核種や燃料由来の核種を含む元素、及びそれらの移行挙動に影響する元素として、Li、B、Cr、Fe、Ni、Zr、Mo、Ag、Cs、Nd、Uの11元素を対象とした。これらの核種の定量においては、他元素の同重体からの影響がないか極めて小さく、一意に特定可能な核種に着目し、Li-6、Li-7、B-10、B-11、Cr-52、Cr-53、Fe-56、Fe-57、Ni-60、Ni-61、Ni-62、Zr-90、Zr-91、Mo-95、Mo-97、Mo-98、Ag-107、Ag-109、Cs-133、Nd-143、Nd-145、Nd-146、U-234、U-235、U-236、U-238の計26核種を対象とした。
(2) 検量線の作成
 各核種のカウント数(計数率)から濃度への換算にあたり、U-234とU-236を除く24核種について、対象核種を含む標準溶液を用いて濃度の異なる溶液を数点調整、測定し、調整した濃度と得られた計数率から最小二乗法により検量線を作成し、試料溶液中の各核種の濃度への換算に用いた。U-234及びU-236については、計数率から濃度への換算にU-235の検量線の傾きを用いた。
 作成した検量線の一例を下図に示す。
図 検量線の一例
(3) 未知試料の測定
 固液分離後の試料溶液(30 mL)から適量を分取し、定量分析対象元素の濃度に応じて希釈した後、希釈溶液について測定を実施した。測定時の希釈倍率を、下表に示す。ICP-MSによる定量分析を行うにあたり、1質量数あたりの測定時間は9秒(1秒×3点/質量数×3回繰り返し)とした。得られた濃度に、希釈倍率と元の試料溶液の体積(30 mL)を乗ずることにより、元の試料溶液(30 mL)中に含まれる各核種の重量に換算した。
表 ICP-MS測定時における希釈倍率
試料名 Li B Cr Fe Ni Zr Mo Ag Cs Nd U
2PEN2101 10 10 10 10 10 10 10 10 10 10 10
2PEN2102 10 10 10 10 10 10 10 10 10 10 10
2WEL2101A 10 10 10 1,000 10 10 100 10 10 10 100
2WEL2101C 10 10 10 100 10 10 10 10 10 10 10
2WEL2102A 10 10 10 10,000 10 10 10 10 10 10 10
2WEL2103A 10 10 10 1,000 10 10 10 10 10 10 10
(4) 操作ブランク試料の測定
 ろ過後の試料溶液中に含まれる核種には、スミア紙やテフロンビーカーから溶出したと考えられる核種も含まれる。そのため、別途、操作ブランク試験を実施して、スミア紙やテフロンビーカーから溶出したと考えられる核種の重量を評価した。操作ブランク試験の手順を以下に示す。
 スミア紙を含むサンプル(2PEN2101及び2PEN2102)については、採取に使用したスミア紙と同種のスミア紙を、試料溶解に供したテフロンビーカーと同ロットのテフロンビーカーの中で、試料溶解と同条件で硝酸及びフッ化水素酸とともに加熱した。得られた溶液に対し、ICP-MS測定を行い、検量線を用いて濃度に換算した。得られた濃度に、希釈倍率と溶液の体積(30 mL)を乗ずることで、スミア紙およびテフロンビーカーから溶出したと考えられる各核種の重量を得た。
 固形物のサンプル(2WEL2101A、2WEL2101C、2WEL2102A及び2WEL2103A)については、試料溶解に供したテフロンビーカーと同ロットのテフロンビーカーの中に、硝酸及びフッ化水素酸のみを入れて、試料溶解と同条件で加熱して得た溶液に対し、ICP-MS測定を行い、検量線を用いて濃度に換算した。得られた濃度に、希釈倍率と溶液の体積(30 mL)を乗ずることで、テフロンビーカーから溶出したと考えられる各核種の重量を得た。
(5) 核種重量の算出
 元の試料溶液(30 mL)中に含まれる各核種の重量から、スミア紙やテフロンビーカーから溶出したと考えられる各核種の重量を差し引くことで、試料に含まれる核種重量を評価した。
 検量線法を用いた溶液中の核種濃度の評価、ならびに、試料に含まれる核種重量の評価について、詳細を以下に示す。
  a:検量線の切片 [cps]
  b:検量線の傾き [cps/(ng/mL)]
  y:測定試料の測定値 [cps]
  x:測定試料の濃度 [ng/mL]
 とすると、検量線として以下が得られる。
  y = a +bx ………(1)
 上式の変形により、測定試料の濃度が得られる。
  x = (y–a) / b ………(2)
 ここで、
  y1:試料溶液の測定値 [cps]
  y2:操作ブランク試験で作製した溶液(操作ブランク試料)の測定値 [cps]
 とするとき、式(2)のyにy1、y2を代入して
  x1:試料溶液中の核種の濃度 [ng/mL]
  x2:操作ブランク試験で作製した溶液(操作ブランク試料)中の核種の濃度 [ng/mL]
 がそれぞれ得られる。得られたx1及びx2の値を用いて、試料中に含まれる核種の量を次式により算出した。
  (試料に含まれる核種の量[ng]) = (x1[ng/mL]– x2[ng/mL]) × (希釈倍率) × (試料溶液の体積[mL]) ………(3)
(6) 不確かさ
 定量値の不確かさは、未知試料測定時および操作ブランク試料測定時の検量線の不確かさを計算し、それらの不確かさを合成することで求めた。検量線の不確かさについては下記の式([2][3])から計算した。
Icp u,syo 2021.jpg
 ここで、
  u:検量線から求めた濃度の不確かさ
  m:検量線用標準溶液の測定回数
  yo:測定試料の機器出力 [cps]
  yi:検量線用標準液の各測定値 [cps]
  y-:検量線用標準液の各測定値yiの平均値 [cps]
  xi:検量線用標準液の各濃度 [ng/mL]
  x-:検量線用標準液の各濃度xiの平均値 [ng/mL]
  a:検量線の切片 [cps]
  b:検量線の傾き [cps/(ng/mL)]
 式(4)及び(5)より、未知試料測定時の検量線に起因する不確かさu1、及び操作ブランク試料測定時の検量線に起因する不確かさu2をそれぞれ求め、合成不確かさを次式により算出した。
Icp combined uncretainly 2021.jpg
(7) 定量下限値
 バックグラウンドを繰り返し測定し、その測定値の標準偏差の10倍の値を用いて定量下限値を計算した。以下に示す1.~5.に従い、測定値が定量下限値でないものについては定量を行った。
  1.  定量する核種の質量数に対して、ブランク溶液(標準液を添加していない硝酸、すなわち、単なる硝酸を試料と同じ硝酸濃度に調製した溶液)を複数回測定した。
  2.  複数回測定したブランク溶液の計数率 [cps] から平均μと標準偏差σを計算し、μ+10σを定量下限値とした。
  3.  試料を測定し、測定値がμ+10σを超えているか確認した。
  4.  試料の測定値がμ+10σを超えない場合は、定量下限以下のため定量を行わなかった。
  5.  試料の測定値がμ+10σを超える場合は、検量線を使って定量した。
 μ+10σを濃度に換算した結果の一例を下表に示す。
表 定量下限一覧(一例)
核種 Li-6 Li-7 B-10 B-11 Cr-52 Cr-53 Fe-56 Fe-57 Ni-60 Ni-61 Ni-62 Mo-95 Mo-97 Mo-98
定量下限値 (ppb) 1.30E-02 7.93E-02 8.90E-01 3.46E+00 2.57E-01 4.26E-03 1.60E+01 1.64E-01 4.80E-03 2.49E-03 1.53E-02 4.68E-02 3.44E-02 6.58E-02
表 定量下限一覧(一例)(続き)
核種 Zr-90 Zr-91 Ag-107 Ag-109 Cs-133 Nd-143 Nd-145 Nd-146 U-234 U-235 U-236 U-238
定量下限値 (ppb) 8.22E-02 3.38E-02 5.15E-03 7.96E-03 5.07E-02 1.49E-04 5.40E-04 2.02E-03 5.53E-04 3.53E-04 3.13E-04 3.32E-02

定性分析

 全質量数スキャンにより、未知試料中での元素の含有について簡易的に判定を行った。ICP-MSによる定性分析を行うにあたり、1質量数あたりの測定時間を0.09秒(0.01秒×3点/質量数×3回繰り返し)とした。

(1) 未知試料由来の有意な信号を含む質量数の選定
 定性分析では、まず、硝酸溶液(ブランク溶液)を複数回測定し、ブランク溶液の計数率の平均値(μ)および標準偏差(σ)を求め、検出限界(μ + 3σ)を算出した。未知試料及び操作ブランク試料(まとめて「測定試料」という)に対して同様の測定を実施し、測定試料の計数率を求めた。測定試料の計数率が検出限界以上の場合、測定試料の計数率からブランク溶液の計数率の平均値(μ)を差し引くことにより、測定試料の正味計数率を算出した。
 各質量数(質量電荷数比、m/Z比)において、未知試料の正味計数率が操作ブランク試料の正味計数率の2倍を超えるものについては、未知試料由来の有意な信号を含むものと判断した。なお、未知試料の計数率が検出限界以上であり、かつ操作ブランク試料の計数率が検出限界未満である場合も、未知試料由来の有意な信号を含むものと判断した。
(2) 元素の簡易同定
 前項(1)で有意と判断された質量数において含まれる可能性のある元素を、次のような手順の下で簡易的に同定した。
  1.  天然同位体組成[4]や照射燃料組成[5]との比較により、着目する質量数に該当する安定同位体核種または放射性核種を、候補核種としてピックアップした。
  2.  ピックアップされた候補核種のうち、希ガスについては除外した(溶解液中にほとんど残らないと考えられるため)。また、他の質量数での計数率が小さい等の理由から、着目する質量数における寄与が極めて小さいと判断される核種についても除外した。
  3.  着目する質量数から16または17小さい質量数での計数率を確認し、水酸化物イオンまたは酸化物イオンの寄与を判断した。また、着目する質量数の2倍の質量数での計数率を確認し、2価イオンの寄与を判断した。
  4.  上記3.の分子イオンや2価イオンの影響を考慮した上で、上記1.の候補核種が一種類のみであった場合、または上記2.において核種が一種類に絞り込まれた場合、その核種を含む元素を一意に同定できたものとみなし、着目する質量数で一意に同定された元素として記載した。なお、上記2.の絞込みや上記3.の妨害イオンの検討の結果、複数の核種や妨害イオンからの寄与が見込まれる場合、それらの元素やイオンを包絡して記載した。

参考文献

  1. 日本の環境放射能と放射線HP(2020):“放射能測定法シリーズNo.7 ゲルマニウム半導体検出器によるγ線スペクトロメトリー”, https://www.kankyo-hoshano.go.jp/wp-
  2. J. N. Miller(2004):J. N. Miller著,宗森信,佐藤寿邦訳(2004) “データのとり方とまとめ方―分析化学のための統計学とケモメトリックス”,2版, 共立出版, p142~148.
  3. AIST工学計測用標準研究部門データサイエンス研究グループ不確かさWeb(2018):“化学分析における不確かさの評価事例~ポイントと手法~”,https://unit.aist.go.jp/riem/ds-
  4. 日本化学会 原子量専門委員会,「原子量表(2022)」について,https://www.chemistry.or.jp/know/atom_2022.pdf (accessed Dec. 2022).
  5. 西原健司他,福島第一原子力発電所の燃料組成評価,JAEA-Data/Code 2012-018,2012,190p.